Este programa es el primer software que manejamos y que orienta nuestro pensamiento a la lógica y la programación. Mediante el uso de ordenes, algoritmos, variables, etc., creamos programa pequeños, pero que son muy chéveres al ejecutarlos, pues es el resultado de lo que nosotros emos trabajado es logrado, como sumas, multiplicaciones, ademas de otras funciones interesantes.
Las funciones desarrolladas pueden ser muy complejas o por lo contrario sencillas. Para aprender mucho más podemos usar el medio de Internet mediante tutoriales y videos, aunque el programa es poco conocido a nivel mundial.
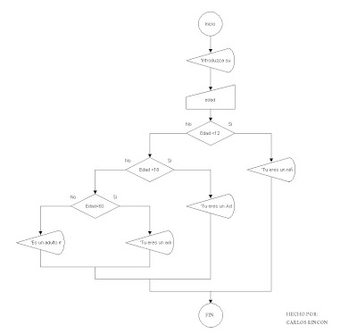
- Edad de una persona
.bmp)
El diagrama, nos pide que introduzcamos la edad, y dependiento de si la persona:
* Es menor de 12 años nos dice que es un niño.
* Si, tienes entre 13 y 18 años eres un Adolescentes.
* Entre 19 y 60 es un adulto. - NUMEROS PARES
Este caso de programacion es muy sencillo, y al programar mediante la diferencia entre un numero par y uno no, nos da el resutado y lo correcto.Ej:
Introducimos un numero:
3 - el programa nos va a decir si es par o no.
- AREA DE UN TRIANGULO
Ejercicio que pretende calcular y mostrar el area de un triangulo mostrar el área de un triángulo. El driagrama nos solicitara los datos que hemos introducido y mostrara el resultado segun los datos ingresados.
- Grados C a F

Este diagrama convierten grados centígrados a grados Fahrenheit. El diagrama deberá de solicitar los datos necesarios y mostrar el resultado.
- SUMA DEL 1 AL 100

En este ejercicio el usuario, debe ingresar un numero del uno al 100 y el programa, sigue la secuencia.
Ej: el usuario introduce el siguiente numero entre 1 y 100 y el program sigue contando hasta 100:
* 8 ejecuta: 9,10,11,12............100
*Si el susuario ingresa 98, se ejecuta 99, 100 y termina.
- NUMERO PAR O IMPAR
Este diagrama es muy util y me parece chevere, porque toma un numero que uno ingresa luego nos dice si es un numero primo luego nos dice si es un numero par o impar.
8 - es par- no es primo
3 - impar- es primo
- SUCESION FINOBACCI
.bmp)
Este ejercicio es un diagrama de flujo que solicita un número como valor de entrada y calcula los valores para la Sucesión de Fibonacci;Muestre la cantidad de valores según se solicitó.
El diagrama deberá de solicitar los datos necesarios y mostrar el resultado.
- PROMEDIO ENTRE 10 NUMEROS

Este ejercicio nos pide introducir 10 numeros y nos muestra el promedio de ellos. Es un diagrama muy sencillo, y que da un buen resultado. En este loq ue realizamos es un mensaje, una variable, asi 10 veces, y al final ejecicio introducimos 10 variables con su respectiva respuesta, asi introducimos 10 numeros diferentes, estos valores los suma y saca el promedio de los 10.
EJ: si yo introduzco los siguientes 10 valores:
2,4,6,8,10,12,14,16,18,20, Nos va a mostrar que el promedio es 11
- NUMERO MAYOR
Este diagrama de flujo, nos exige el uso de condicionales. Debido a que introducimos 3 números distintos y nos dice cual es el mayor de los 3 numero ingresados, no importando el orden.
Ej: introducimos
425
847
345
El resultado que nos muestra el subprograma es: 847





.


